Phosphorylated Tau protein [pT181] IMR
“MagQu” Phosphorylated Tau protein [pT181] IMR Reagent is designed for quantitative measurement of Tau protein concentration in human plasma by immunomagnetic reduction (IMR) assay. The reagent can be used with MagQu’s Magnetic Immunoassay Analyzer XacPro-S system.
This assay enables early-stage neurological disease research with ultra-high sensitivity and low interference.
Features
Quantify phosphorylated Tau protein (p-Tau181) in the sample easily, rapidly, and accurately
Magnetic Nanoparticle
Dextran layer
For Alzheimer’s disease research and for in-vitro diagnosis use
Specifications
Sample type: Human Plasma
Sample volume: 40 μl
Assay time: 5 hours (36 channels in XacPro-S)
Use application: In vitro diagnostic
Detection methods: ImmunoMagnetic Reduction (by analyzer XacPro-S with magnetic reagents)
Sensitivity
Detection Range: 0.196 - 100 pg/ml
Low detection limit: 19.6 fg/ml
IMR standard curve of Tau [pT 181]
Description
Intended Use
“MagQu” Phosphorylated Tau protein [pT181] IMR Reagent is used to quantitatively measure phosphorylated Tau protein(p-Tau181) in human fluid specimen, such as plasma, serum or CSF.
Use “MagQu” Phosphorylated Tau protein [pT181] IMR Reagent only with the XacPro-S System (MagQu Co., Ltd.).
Introduction
Tau protein is a microtubule-associated protein and is abundant in nervous system. Tau protein can maintain the structure of neuron cells and support the transport of substance. When tau proteins phosphorylated, It will result in the self-assembly of tangles in brain and increased some neurodegenerative diseasesincluding Alzheimer’s disease (AD)、Pick's disease、Parkinson's disease (PD)、Progressive supranuclear palsy(PSP) and Corticobasal degeneration (CBD). The phosphorylated Tau protein at position threonine 181 (p-Tau181) is more specific for disease progression (from mild cognitive impairment to Alzheimer's disease)1
Principles of Test
“MagQu” Phosphorylated Tau protein [pT181] IMR Reagent is designed for rapid quantifying phosphorylated Tau protein(p-Tau181) by Immuno Magnetic Reduction (IMR). We conjugated the antibody on the surface of around 50 nm-in-diameter Fe3O4 magnetic particles. When the antibodies on the surface bind with phosphorylated Tau protein (p-Tau181), the magnetic particles form clusters. Therefore, the ac susceptibility (Xac) of magnetic particles would be reduced in the adding ac magnetic field. By measuring the reduction of Xac, we can quantify phosphorylated Tau protein(p-Tau181) in the sample easily, rapidly, and accurately.2,3
Reagent Properties
Precision
The Tau [pT181] samples were measured in
duplicate, twice per day over 20 days. Two
measurements on two sequent days are
regarded as two runs. Two different Phospho-
rylated Tau Protein [pT181] concentrations
were used for the tests. The standard devia-
tions of repeatability and within-lab for various
Tau [pT181] concentrations ware obtained.
Interference (Specificity)
The level of Phosphorylated Tau Protein [pT181] in each of
these pools was then determined and normalized to the
level without the respective substances. All % Recoveries
were in the range of 90-110%, indicating that the reagent is
unaffected by the following levels of interfering
substances.
Expected Value
Fig 1: The measured concentrations of plasma p-tau181 were 2.46±1.09 pg/ml for healthy controls, 4.41±1.85 pg/ml for MCI due to AD, and 6.14±1.59 pg/ml for very mild AD. (refer to reference 1)
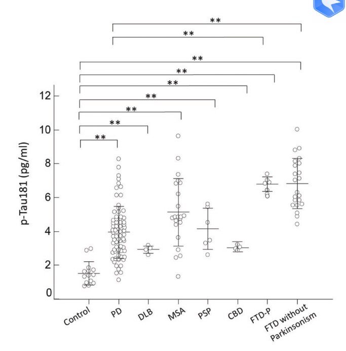
Fig 2: p-Tau181 were significantly increased in all disease groups compared to controls, especially in patients with FTD (p < 0.01).(refer to reference 2)
Application References:
1. Yang CC, Chiu MJ, Chen TF, Chang HL, Liu BH, Yang SY. Assay of Plasma Phosphorylated Tau Protein (Threonine 181) and Total Tau Protein in Early-Stage Alzheimer's Disease. J Alzheimers Dis. 2018;61(4):1323-1332
2. Lin CH, Yang SY, Horng HE, Yang CC, Chieh JJ, Chen HH, Liu BH, Chiu MJ. Plasma Biomarkers Differentiate Parkinson's Disease From Atypical Parkinsonism Syndromes. Front Aging Neurosci. 2018 Apr 27;10:123

